Projects
One/Zero Shot Vehicle Detection on Satellite Images using Image/Text Queries
Implemented and evaluated two open-vocabulary object detection models, OWL-ViT and YOLO-WORLD, for detecting vehicle classes in satellite images using both text and image queries.
Parallelization of the Bellman-Ford Algorithm
Developed and implemented parallelized versions of the Bellman-Ford algorithm using OpenMP and CUDA. Designed and evaluated CPU-based parallelization (OpenMP) with dynamic, static, and auto scheduling strategies, and GPU-based parallelization (CUDA) with varying thread and block configurations.

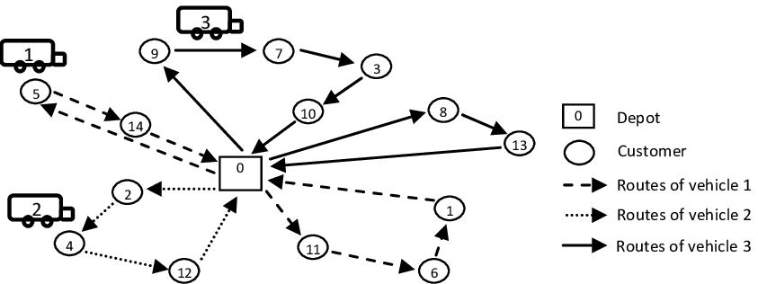
Multi-Courier Problem (MCP) Optimization
Developed and compared four models—Constraint Programming (CP), Boolean Satisfiability (SAT), Satisfiability Modulo Theories (SMT), and Mixed-Integer Programming (MIP)—to optimize courier assignment and routing for minimizing total travel distance.
Anti-Covid19 Systems
Developed an IoT application using Arduino UNO and Raspberry Pi4 to monitor face masks and body temperature. Implemented facial recognition with OpenCV to detect unmasked faces, displayed data on an Android app, and sent user notifications.
Spoken Number Recognition System
Designed a spoken number recognition system on Vivado using Basys3 and analog components. Designed a PCB for filtering and amplification of speech signals. Implemented algorithms like Hamming Window, FFT, and MFCC in Vivado and displayed the recognized number on a 7-segment display.

Personal Identifiable Information Detection in Student Writing
Developed and evaluated NER and LLM-based models for PII detection in student essays, achieving a top F5 score of 0.743 with a spaCy-based NER approach.

Recurrent Neural Models for Sequence Labeling
Developed a part-of-speech (POS) tagging solution using Long Short-Term Memory (LSTM) models, achieving an F1-score of 0.91 on a test set of 13,676 elements.

Multi-label Text Classification with Transformers
Designed and evaluated BERT-based classifiers to detect human value categories in textual arguments, achieving an F1-score of 0.65 and an average accuracy of 0.70.

Emotion Discovery and Reasoning its Flip in Conversation
Developed a BERT-based system to identify emotions and detect emotional shifts in conversational dialogues, leveraging specialized classification heads for trigger and emotion detection.
Tameable Snake
Implemented a Deep Q Neural Network for the Snake game using Tensorflow and trained the snake with reward and state mechanism.
